Выберите класс▼

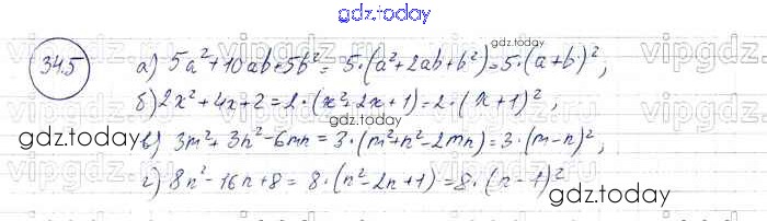
Ответы к § 34. Разложение многочленов на множители с помощью комбинаций различных приемов Решение к главе 7 5 Задачнику по Алгебре для 7 класса Мордкович, Александрова Базовый уровень Мнемозина 2013

  • Решение к главе 7
    • § 33. Разложение многочленов на множители с помощью формул сокращенного умножения
    • 50 51 52 53
На страницах сайта gdz.today вы найдете учебный и вспомогательный материал, направленный на улучшения знаний школьной программы. ГДЗ - онлайн мир знаний § 34. Разложение многочленов на множители с помощью комбинаций различных приемов Решение к главе 7 5 Задачнику по Алгебре для 7 класса Мордкович, Александрова Базовый уровень Мнемозина 2013