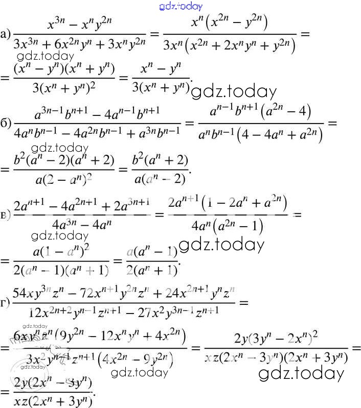
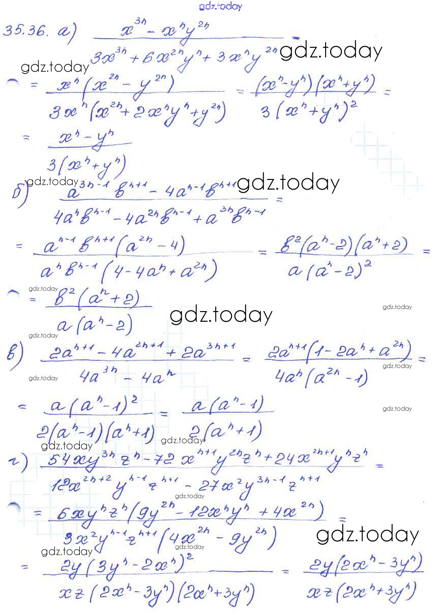
Ответы к § 35. Сокращение алгебраических дробей Решение к главе 7 36 Задачнику по Алгебре для 7 класса Мордкович, Александрова Базовый уровень Мнемозина 2013
-
Решение к главе 7
На страницах сайта gdz.today вы найдете учебный и вспомогательный материал, направленный на улучшения знаний школьной программы. ГДЗ - онлайн мир знаний § 35. Сокращение алгебраических дробей Решение к главе 7 36 Задачнику по Алгебре для 7 класса Мордкович, Александрова Базовый уровень Мнемозина 2013