Выберите класс▼

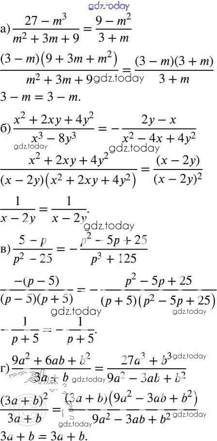
Ответы к § 36. Тождества Решение к главе 7 14 Задачнику по Алгебре для 7 класса Мордкович, Александрова Базовый уровень Мнемозина 2013

  • Решение к главе 8
    • § 37. Функция у = х2 и ее график
    • 1 2 3
На страницах сайта gdz.today вы найдете учебный и вспомогательный материал, направленный на улучшения знаний школьной программы. ГДЗ - онлайн мир знаний § 36. Тождества Решение к главе 7 14 Задачнику по Алгебре для 7 класса Мордкович, Александрова Базовый уровень Мнемозина 2013