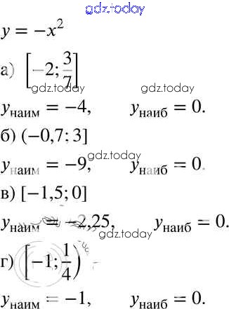
Ответы к § 37. Функция у = х2 и ее график Решение к главе 8 39 Задачнику по Алгебре для 7 класса Мордкович, Александрова Базовый уровень Мнемозина 2013
-
Решение к главе 8
На страницах сайта gdz.today вы найдете учебный и вспомогательный материал, направленный на улучшения знаний школьной программы. ГДЗ - онлайн мир знаний § 37. Функция у = х2 и ее график Решение к главе 8 39 Задачнику по Алгебре для 7 класса Мордкович, Александрова Базовый уровень Мнемозина 2013