Выберите класс▼

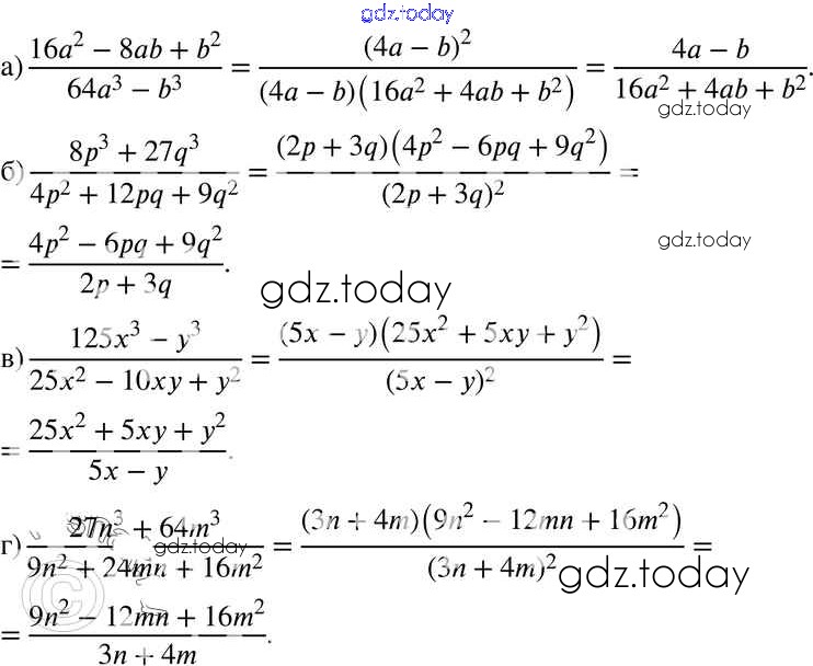
Ответы к Решение к главе 9. Итоговое повторение 180 Задачнику по Алгебре для 7 класса Мордкович, Александрова Базовый уровень Мнемозина 2013

На страницах сайта gdz.today вы найдете учебный и вспомогательный материал, направленный на улучшения знаний школьной программы. ГДЗ - онлайн мир знаний Решение к главе 9. Итоговое повторение 180 Задачнику по Алгебре для 7 класса Мордкович, Александрова Базовый уровень Мнемозина 2013