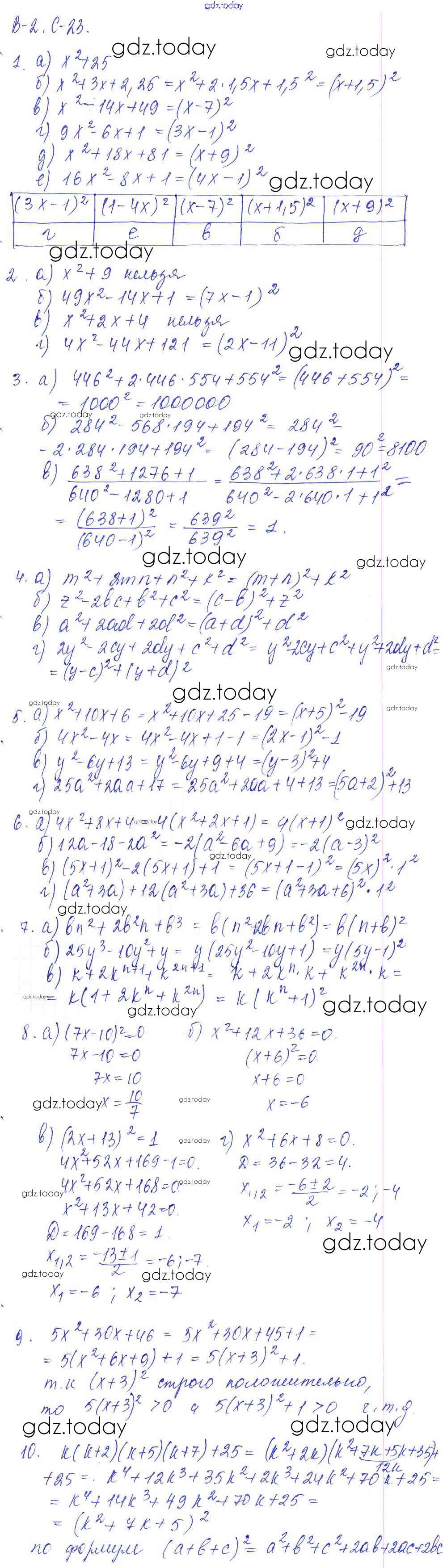
Ответы к Ср-23 Решение к самостоятельным работам Вариант 2 Дидактическим материалам по Алгебре для 7 класса Звавич, Дьяконова Экзамен УМК 2018
-
Решение к самостоятельным работам
На страницах сайта gdz.today вы найдете учебный и вспомогательный материал, направленный на улучшения знаний школьной программы. ГДЗ - онлайн мир знаний Ср-23 Решение к самостоятельным работам Вариант 2 Дидактическим материалам по Алгебре для 7 класса Звавич, Дьяконова Экзамен УМК 2018