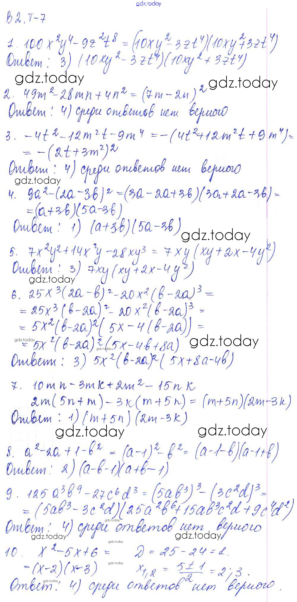
Ответы к Тест 7 Решение к тестам Вариант 2 Дидактическим материалам по Алгебре для 7 класса Звавич, Дьяконова Экзамен УМК 2018
-
Решение к тестам
-
Решение к контрольным работам
На страницах сайта gdz.today вы найдете учебный и вспомогательный материал, направленный на улучшения знаний школьной программы. ГДЗ - онлайн мир знаний Тест 7 Решение к тестам Вариант 2 Дидактическим материалам по Алгебре для 7 класса Звавич, Дьяконова Экзамен УМК 2018