Выберите класс▼

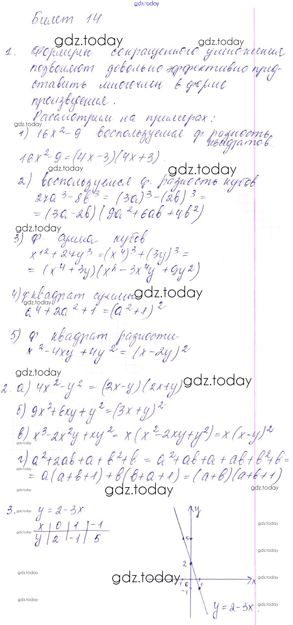
Ответы к Решение к билетам 14 Дидактическим материалам по Алгебре для 7 класса Звавич, Дьяконова Экзамен УМК 2018

На страницах сайта gdz.today вы найдете учебный и вспомогательный материал, направленный на улучшения знаний школьной программы. ГДЗ - онлайн мир знаний Решение к билетам 14 Дидактическим материалам по Алгебре для 7 класса Звавич, Дьяконова Экзамен УМК 2018