Выберите класс▼

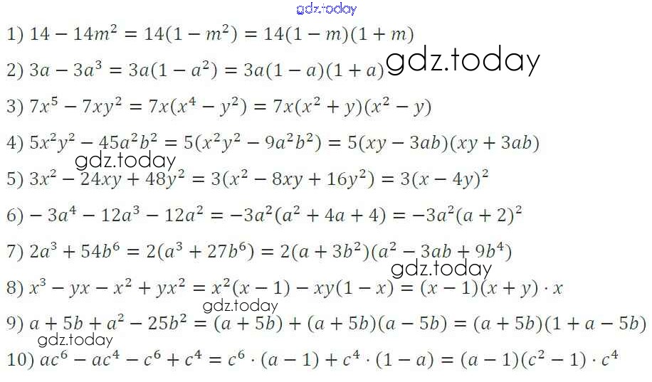
Ответы к Решение к вариантам 2 144 Дидактическим материалам по Алгебре для 7 класса Мерзляк, Полонский Вентана-граф УМК 2017

На страницах сайта gdz.today вы найдете учебный и вспомогательный материал, направленный на улучшения знаний школьной программы. ГДЗ - онлайн мир знаний Решение к вариантам 2 144 Дидактическим материалам по Алгебре для 7 класса Мерзляк, Полонский Вентана-граф УМК 2017