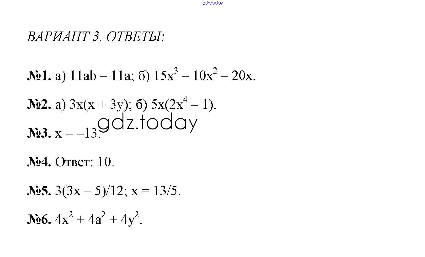
Ответы к Вариант 3 Решение к контрольным работам k-3 Дидактическим материалам по Алгебре для 7 класса Звавич, Кузнецова Просвещение 2012
-
Решение к контрольным работам
На страницах сайта gdz.today вы найдете учебный и вспомогательный материал, направленный на улучшения знаний школьной программы. ГДЗ - онлайн мир знаний Вариант 3 Решение к контрольным работам k-3 Дидактическим материалам по Алгебре для 7 класса Звавич, Кузнецова Просвещение 2012