Выберите класс▼

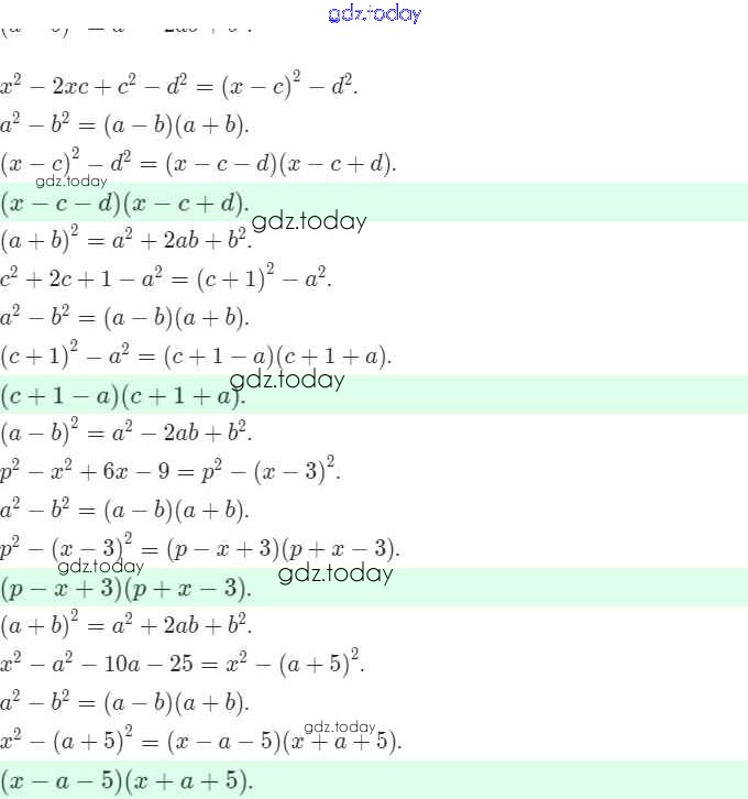
Ответы к Решение. Упражнения 944 Учебнику по Алгебре для 7 класса Макарычев, Миндюк Просвещение 2015

На страницах сайта gdz.today вы найдете учебный и вспомогательный материал, направленный на улучшения знаний школьной программы. ГДЗ - онлайн мир знаний Решение. Упражнения 944 Учебнику по Алгебре для 7 класса Макарычев, Миндюк Просвещение 2015