Выберите класс▼

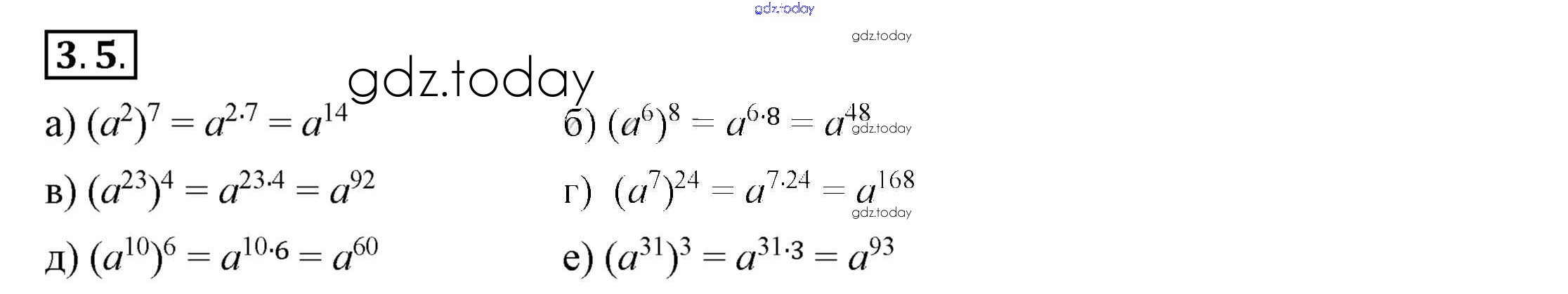
Ответы к Решение к §3. Свойства степеней с натуральными показателями 3.5 Учебнику по Алгебре для 7 класса Мордкович, Семёнов Просвещение 2018

На страницах сайта gdz.today вы найдете учебный и вспомогательный материал, направленный на улучшения знаний школьной программы. ГДЗ - онлайн мир знаний Решение к §3. Свойства степеней с натуральными показателями 3.5 Учебнику по Алгебре для 7 класса Мордкович, Семёнов Просвещение 2018