Выберите класс▼

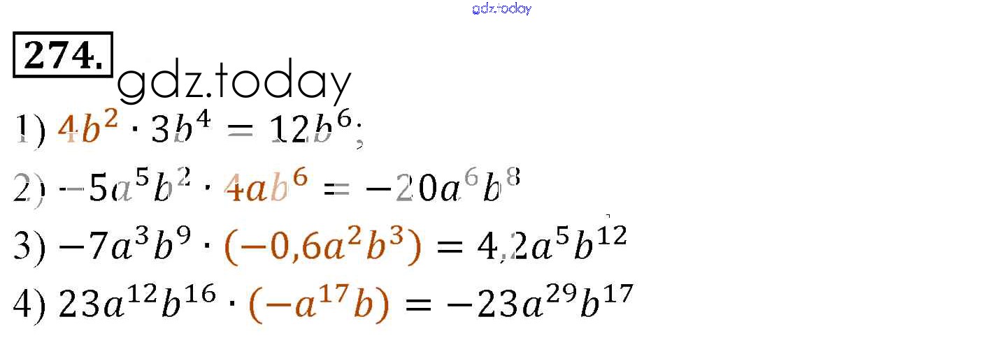
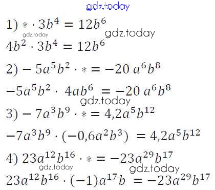
Ответы к Решение к упражнениям 274 Учебнику по Алгебре для 7 класса Мерзляк, Полонский Базовый уровень Вентана-граф Алгоритм успеха 2016

На страницах сайта gdz.today вы найдете учебный и вспомогательный материал, направленный на улучшения знаний школьной программы. ГДЗ - онлайн мир знаний Решение к упражнениям 274 Учебнику по Алгебре для 7 класса Мерзляк, Полонский Базовый уровень Вентана-граф Алгоритм успеха 2016