Выберите класс▼

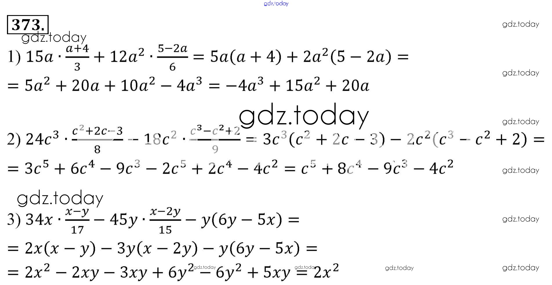
Ответы к Решение к упражнениям 373 Учебнику по Алгебре для 7 класса Мерзляк, Полонский Базовый уровень Вентана-граф Алгоритм успеха 2016

На страницах сайта gdz.today вы найдете учебный и вспомогательный материал, направленный на улучшения знаний школьной программы. ГДЗ - онлайн мир знаний Решение к упражнениям 373 Учебнику по Алгебре для 7 класса Мерзляк, Полонский Базовый уровень Вентана-граф Алгоритм успеха 2016