Выберите класс▼

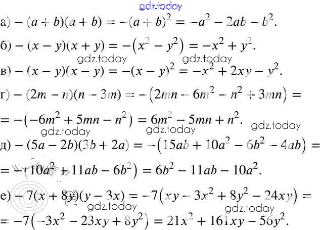
Ответы к Решение к eпражнениям 297 Учебнику по Алгебре для 7 класса Никольский, Потапов Просвещение МГУ - школе 2013

На страницах сайта gdz.today вы найдете учебный и вспомогательный материал, направленный на улучшения знаний школьной программы. ГДЗ - онлайн мир знаний Решение к eпражнениям 297 Учебнику по Алгебре для 7 класса Никольский, Потапов Просвещение МГУ - школе 2013