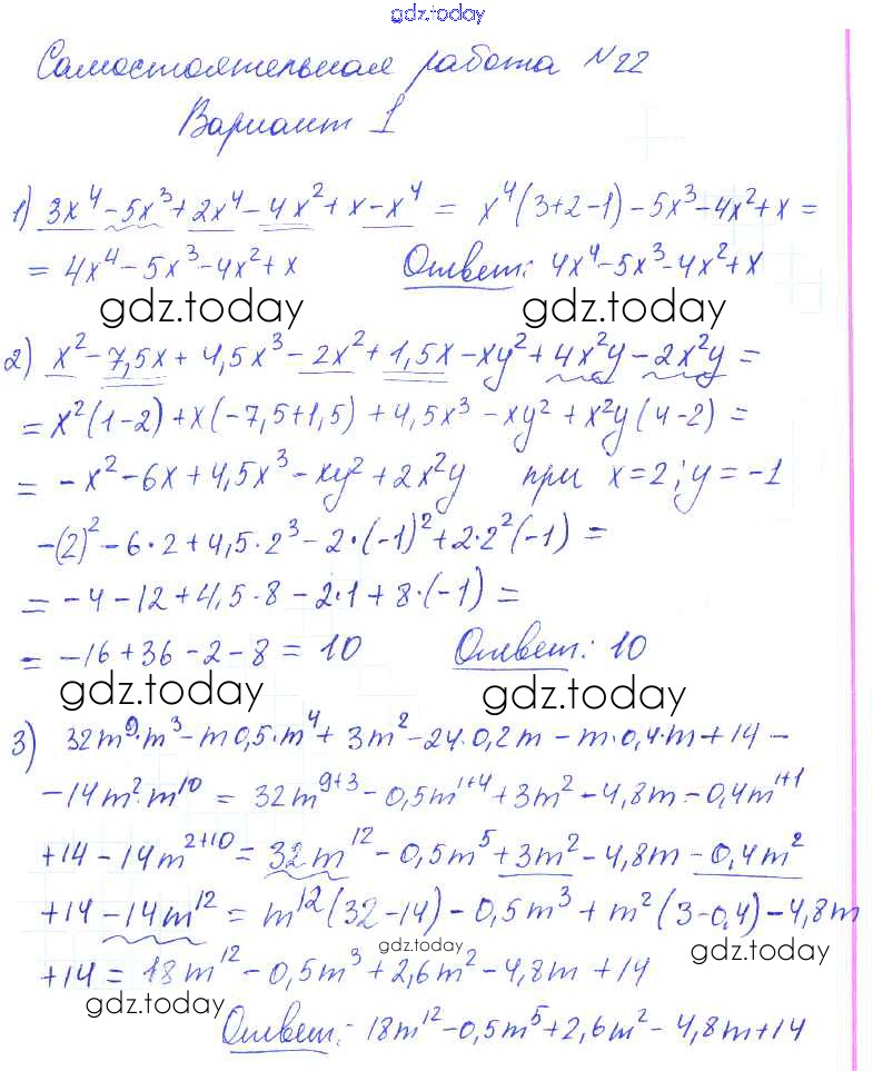
Ответы к СР-22 Решение к самостоятельным работам. Варианты 1 Контрольным и самостоятельным работам по Алгебре для 7 класса Попов Экзамен УМК 2017
-
Решение к самостоятельным работам. Варианты
На страницах сайта gdz.today вы найдете учебный и вспомогательный материал, направленный на улучшения знаний школьной программы. ГДЗ - онлайн мир знаний СР-22 Решение к самостоятельным работам. Варианты 1 Контрольным и самостоятельным работам по Алгебре для 7 класса Попов Экзамен УМК 2017