Выберите класс▼

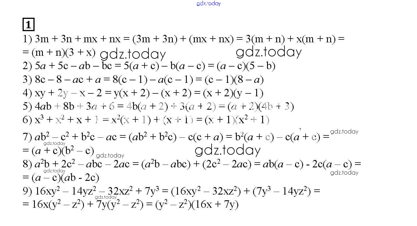
Ответы к § 13. Разложение многочленов на множители. Метод группировки. Страница 69-71 Решение. Часть 1 1 Рабочей тетради по Алгебре для 7 класса Мерзляк, Полонский Вентана-граф Алгоритм успеха 2018

  • Решение. Часть 1
    • § 12. Разложение многочлена на множители. Вынесение общего множителя за скобки. Страница 63-69
    • 6 7 8 9 10 11 12 13
    • § 13. Разложение многочленов на множители. Метод группировки. Страница 69-71
    • 1 2 3 4 5 6 7
    • § 14. Произведение разности и суммы двух выражений. Страница 71-74
    • 1 2
На страницах сайта gdz.today вы найдете учебный и вспомогательный материал, направленный на улучшения знаний школьной программы. ГДЗ - онлайн мир знаний § 13. Разложение многочленов на множители. Метод группировки. Страница 69-71 Решение. Часть 1 1 Рабочей тетради по Алгебре для 7 класса Мерзляк, Полонский Вентана-граф Алгоритм успеха 2018