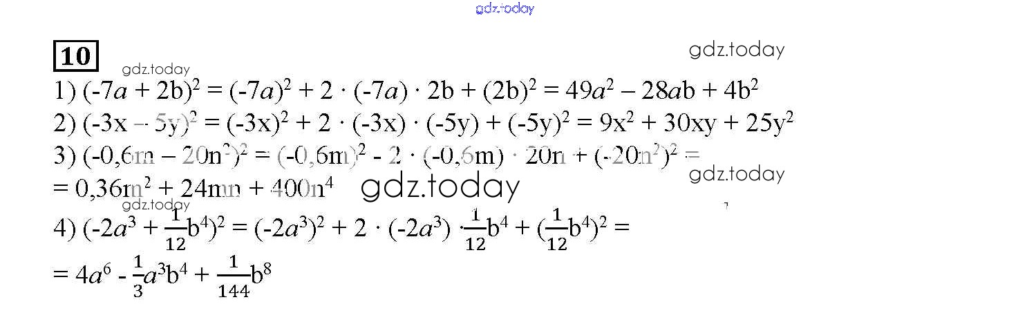
Ответы к § 16. Квадрат суммы и квадрат разности двух выражений. Страница 82-91 Решение. Часть 1 10 Рабочей тетради по Алгебре для 7 класса Мерзляк, Полонский Вентана-граф Алгоритм успеха 2018
-
Решение. Часть 1
На страницах сайта gdz.today вы найдете учебный и вспомогательный материал, направленный на улучшения знаний школьной программы. ГДЗ - онлайн мир знаний § 16. Квадрат суммы и квадрат разности двух выражений. Страница 82-91 Решение. Часть 1 10 Рабочей тетради по Алгебре для 7 класса Мерзляк, Полонский Вентана-граф Алгоритм успеха 2018