Выберите класс▼

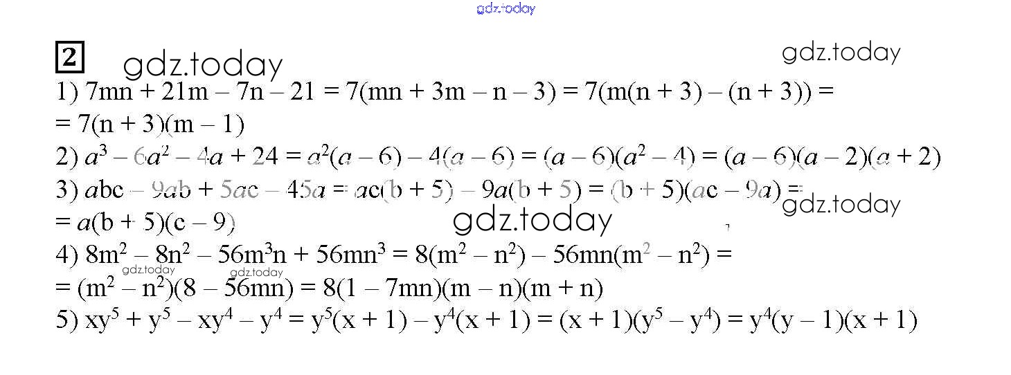
Ответы к § 19. Применение различных способов разложения многочлена на множители. Страница 104-110 Решение. Часть 1 2 Рабочей тетради по Алгебре для 7 класса Мерзляк, Полонский Вентана-граф Алгоритм успеха 2018

  • Решение. Часть 1
    • § 18. Сумма и разность кубов двух выражений. Страница 100-103
    • 5 6 7 8 9 10 11
    • § 19. Применение различных способов разложения многочлена на множители. Страница 104-110
    • 1 2 3 4 5 6 7 8 9 10
На страницах сайта gdz.today вы найдете учебный и вспомогательный материал, направленный на улучшения знаний школьной программы. ГДЗ - онлайн мир знаний § 19. Применение различных способов разложения многочлена на множители. Страница 104-110 Решение. Часть 1 2 Рабочей тетради по Алгебре для 7 класса Мерзляк, Полонский Вентана-граф Алгоритм успеха 2018