Выберите класс▼

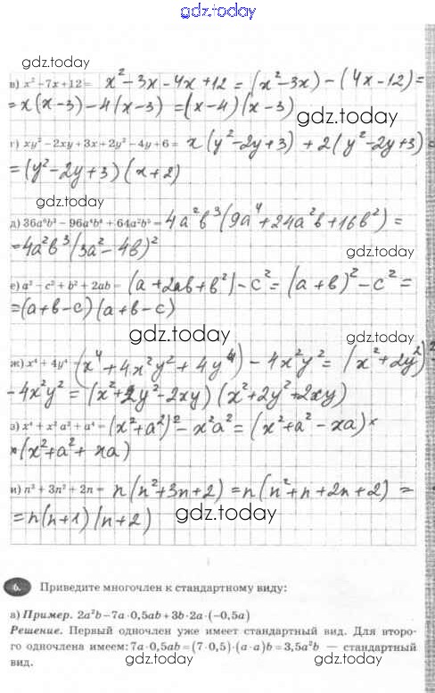
Ответы к Страницы (решение) 35 Рабочей тетради по Алгебре для 7 класса Журавлев, Перепелкина Экзамен УМК 2013

На страницах сайта gdz.today вы найдете учебный и вспомогательный материал, направленный на улучшения знаний школьной программы. ГДЗ - онлайн мир знаний Страницы (решение) 35 Рабочей тетради по Алгебре для 7 класса Журавлев, Перепелкина Экзамен УМК 2013