Ответы к СР-18 Решение к cамостоятельным работам вариант 4 Самостоятельным и контрольным работам по Алгебре для 7 класса Глазков, Гаиашвили Экзамен УМК 2019
-
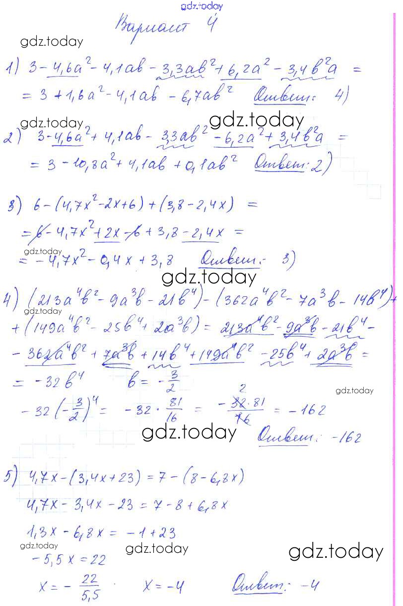
Решение к cамостоятельным работам
На страницах сайта gdz.today вы найдете учебный и вспомогательный материал, направленный на улучшения знаний школьной программы. ГДЗ - онлайн мир знаний СР-18 Решение к cамостоятельным работам вариант 4 Самостоятельным и контрольным работам по Алгебре для 7 класса Глазков, Гаиашвили Экзамен УМК 2019