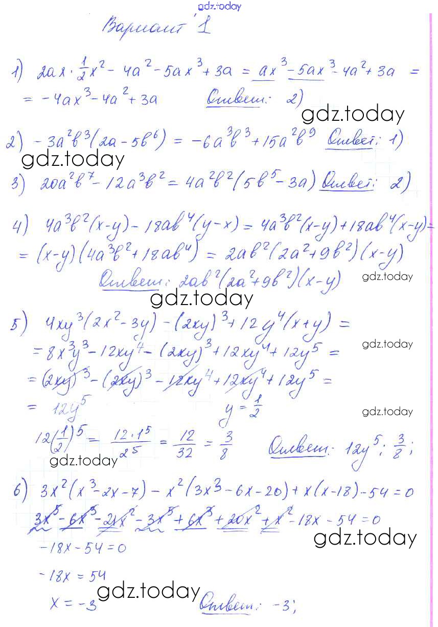
Ответы к КР-5 Решение к контрольным работам вариант 1 Самостоятельным и контрольным работам по Алгебре для 7 класса Глазков, Гаиашвили Экзамен УМК 2019
-
Решение к контрольным работам
На страницах сайта gdz.today вы найдете учебный и вспомогательный материал, направленный на улучшения знаний школьной программы. ГДЗ - онлайн мир знаний КР-5 Решение к контрольным работам вариант 1 Самостоятельным и контрольным работам по Алгебре для 7 класса Глазков, Гаиашвили Экзамен УМК 2019