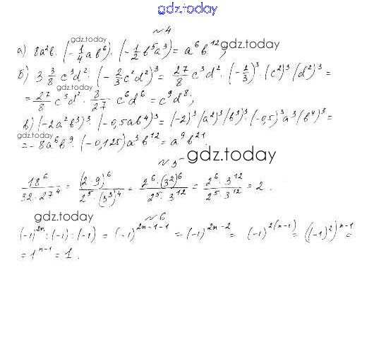
Ответы к КР-3. Степень с натуральным показателем Контрольные работы вариант В-2 Самостоятельным и контрольным работам по Алгебре для 7 класса Ершова, Голобородько Илекса 2015
-
Решение к работам. Алгебра
На страницах сайта gdz.today вы найдете учебный и вспомогательный материал, направленный на улучшения знаний школьной программы. ГДЗ - онлайн мир знаний КР-3. Степень с натуральным показателем Контрольные работы вариант В-2 Самостоятельным и контрольным работам по Алгебре для 7 класса Ершова, Голобородько Илекса 2015