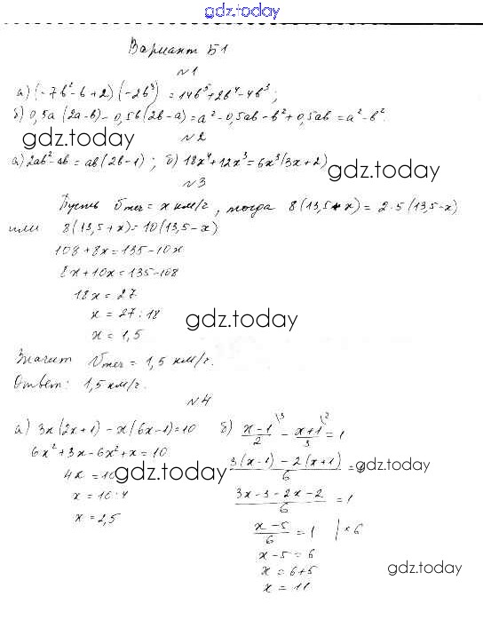
Ответы к СР-11. Умножение многочлена на одночлен. Вынесение общего множителя за скобки Самостоятельные работы вариант Б-1 Самостоятельным и контрольным работам по Алгебре для 7 класса Ершова, Голобородько Илекса 2015
-
Решение к работам. Алгебра
На страницах сайта gdz.today вы найдете учебный и вспомогательный материал, направленный на улучшения знаний школьной программы. ГДЗ - онлайн мир знаний СР-11. Умножение многочлена на одночлен. Вынесение общего множителя за скобки Самостоятельные работы вариант Б-1 Самостоятельным и контрольным работам по Алгебре для 7 класса Ершова, Голобородько Илекса 2015