Выберите класс▼

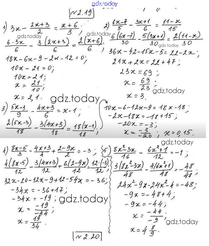
Ответы к Решение к §2 2.19 Учебнику по Алгебре для 7 класса Мерзляк, Поляков Углубленный уровень Вентана-граф Алгоритм успеха 2019

На страницах сайта gdz.today вы найдете учебный и вспомогательный материал, направленный на улучшения знаний школьной программы. ГДЗ - онлайн мир знаний Решение к §2 2.19 Учебнику по Алгебре для 7 класса Мерзляк, Поляков Углубленный уровень Вентана-граф Алгоритм успеха 2019