Выберите класс▼

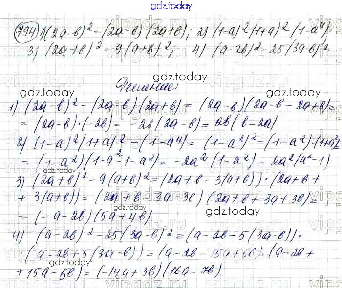
Ответы к Решение к упражнениям 794 Учебнику по Алгебре для 7 класса Колягин, Ткачева Просвещение УМК 2012

На страницах сайта gdz.today вы найдете учебный и вспомогательный материал, направленный на улучшения знаний школьной программы. ГДЗ - онлайн мир знаний Решение к упражнениям 794 Учебнику по Алгебре для 7 класса Колягин, Ткачева Просвещение УМК 2012