Ответы к СР №-8. Архимедова сила. Плавание тел Решение к самостоятельным работам Вариант №9 Дидактическим материалам по Физике для 7 класса Марон Дрофа Вертикаль 2019
-
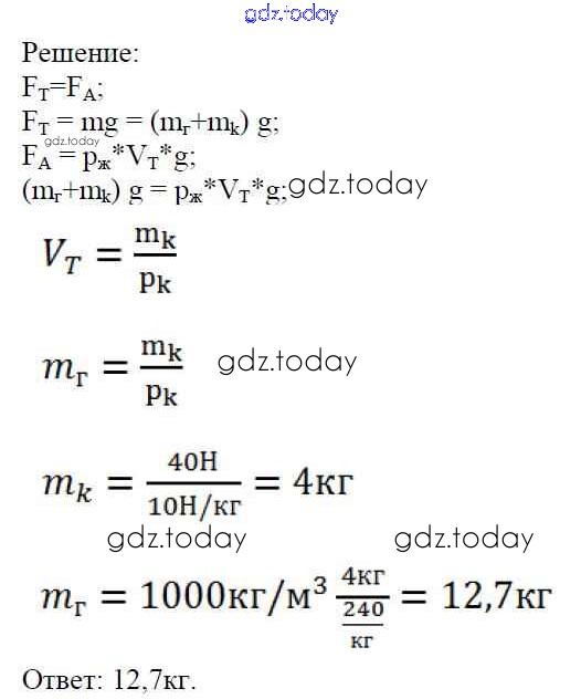
Решение к самостоятельным работам
На страницах сайта gdz.today вы найдете учебный и вспомогательный материал, направленный на улучшения знаний школьной программы. ГДЗ - онлайн мир знаний СР №-8. Архимедова сила. Плавание тел Решение к самостоятельным работам Вариант №9 Дидактическим материалам по Физике для 7 класса Марон Дрофа Вертикаль 2019