Ответы к Решение. Задачи 1304 Учебнику по Геометрии для 7-9 класса Атанасян, Бутузов Просвещение 2010
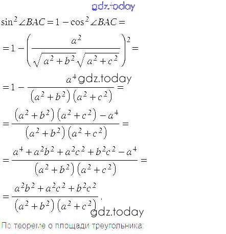
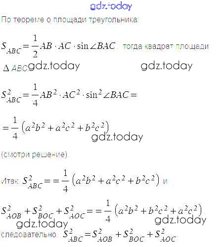
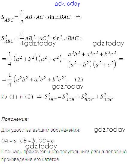
-
Решение. Вопросы для повторения
На страницах сайта gdz.today вы найдете учебный и вспомогательный материал, направленный на улучшения знаний школьной программы. ГДЗ - онлайн мир знаний Решение. Задачи 1304 Учебнику по Геометрии для 7-9 класса Атанасян, Бутузов Просвещение 2010