Выберите класс▼

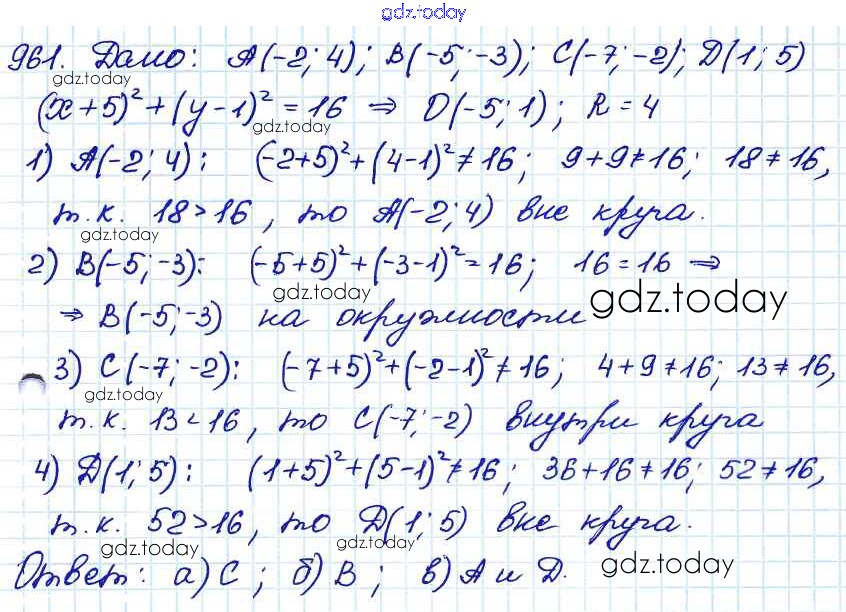
Ответы к Решение. Задачи 961 Учебнику по Геометрии для 7-9 класса Атанасян, Бутузов Просвещение 2010

На страницах сайта gdz.today вы найдете учебный и вспомогательный материал, направленный на улучшения знаний школьной программы. ГДЗ - онлайн мир знаний Решение. Задачи 961 Учебнику по Геометрии для 7-9 класса Атанасян, Бутузов Просвещение 2010