Выберите класс▼

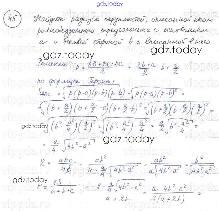
Ответы к Решение к §14. Площади фигур 45 Учебнику по Геометрии для 7-9 класса Погорелов Просвещение 2014

На страницах сайта gdz.today вы найдете учебный и вспомогательный материал, направленный на улучшения знаний школьной программы. ГДЗ - онлайн мир знаний Решение к §14. Площади фигур 45 Учебнику по Геометрии для 7-9 класса Погорелов Просвещение 2014