Ответы к Вопросы Решение к §10 4 Учебнику по Химии для 7 класса Габриелян, Остроумов Дрофа 2016
-
Решение к §9
-
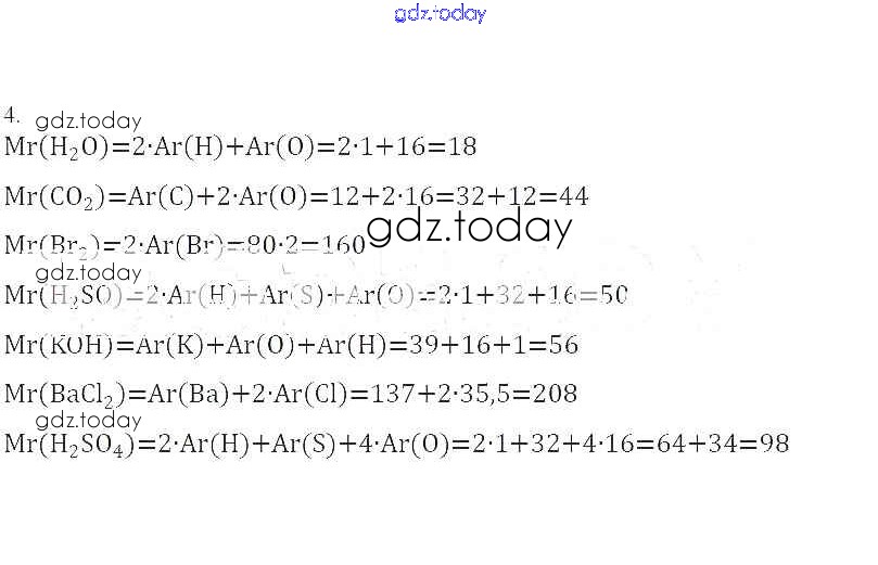
Решение к §10
-
Решение к §11
На страницах сайта gdz.today вы найдете учебный и вспомогательный материал, направленный на улучшения знаний школьной программы. ГДЗ - онлайн мир знаний Вопросы Решение к §10 4 Учебнику по Химии для 7 класса Габриелян, Остроумов Дрофа 2016