Выберите класс▼

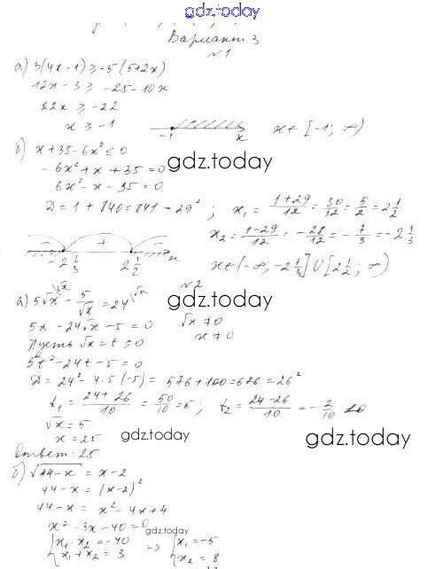
Ответы к КР-8. Варианты Решение к контрольным работам 3 Контрольным работам по Алгебре для 8 класса Александрова Базовый уровень Мнемозина УМК 2016

  • Решение к контрольным работам
    • КР-6. Варианты
    • 3 4
    • Итоговые контрольные работы. Варианты
    • 1 2 3 4
На страницах сайта gdz.today вы найдете учебный и вспомогательный материал, направленный на улучшения знаний школьной программы. ГДЗ - онлайн мир знаний КР-8. Варианты Решение к контрольным работам 3 Контрольным работам по Алгебре для 8 класса Александрова Базовый уровень Мнемозина УМК 2016