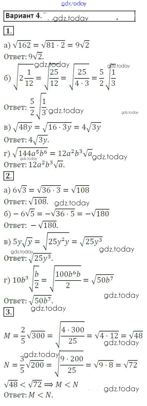
Ответы к Решение к СР-17. Варианты 4 Самостоятельным работам по Алгебре для 8 класса Александрова Мнемозина 2016
-
Решение к СР-15. Варианты
4
-
Решение к СР-16. Варианты
1
2
3
4
-
Решение к СР-17. Варианты
1
2
3
4
-
Решение к СР-18. Варианты
1
2
3
4
-
Решение к СР-19. Варианты
1
2
3
4
На страницах сайта gdz.today вы найдете учебный и вспомогательный материал, направленный на улучшения знаний школьной программы. ГДЗ - онлайн мир знаний Решение к СР-17. Варианты 4 Самостоятельным работам по Алгебре для 8 класса Александрова Мнемозина 2016