Ответы к Решение к СР-34. Варианты 4 Самостоятельным работам по Алгебре для 8 класса Александрова Мнемозина 2016
-
Решение к СР-32. Варианты
4
-
Решение к СР-33. Варианты
1
2
3
4
-
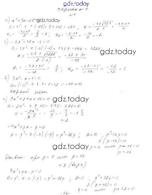
Решение к СР-34. Варианты
1
2
3
4
-
Решение к СР-35. Варианты
1
2
3
4
-
Решение к СР-36. Варианты
1
2
3
4
На страницах сайта gdz.today вы найдете учебный и вспомогательный материал, направленный на улучшения знаний школьной программы. ГДЗ - онлайн мир знаний Решение к СР-34. Варианты 4 Самостоятельным работам по Алгебре для 8 класса Александрова Мнемозина 2016