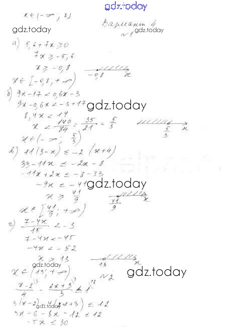
Ответы к Решение к СР-43. Варианты 4 Самостоятельным работам по Алгебре для 8 класса Александрова Мнемозина 2016
-
Решение к СР-41. Варианты
4
-
Решение к СР-42. Варианты
1
2
3
4
-
Решение к СР-43. Варианты
1
2
3
4
-
Решение к СР-44. Варианты
1
2
3
4
-
Решение к СР-45. Варианты
1
2
3
4
На страницах сайта gdz.today вы найдете учебный и вспомогательный материал, направленный на улучшения знаний школьной программы. ГДЗ - онлайн мир знаний Решение к СР-43. Варианты 4 Самостоятельным работам по Алгебре для 8 класса Александрова Мнемозина 2016