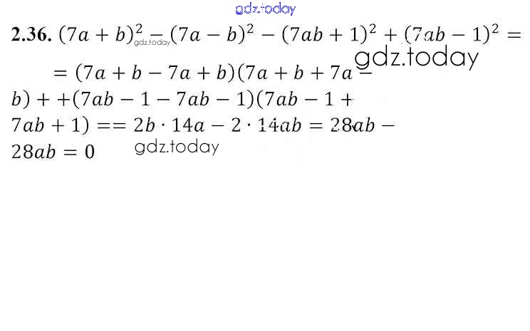
Ответы к Упражнения Решение. Глава 2 2.36 Учебнику по Алгебре для 8 класса Арефьева, Пирютко Народная асвета 2018
-
Решение. Глава 2
На страницах сайта gdz.today вы найдете учебный и вспомогательный материал, направленный на улучшения знаний школьной программы. ГДЗ - онлайн мир знаний Упражнения Решение. Глава 2 2.36 Учебнику по Алгебре для 8 класса Арефьева, Пирютко Народная асвета 2018