Выберите класс▼

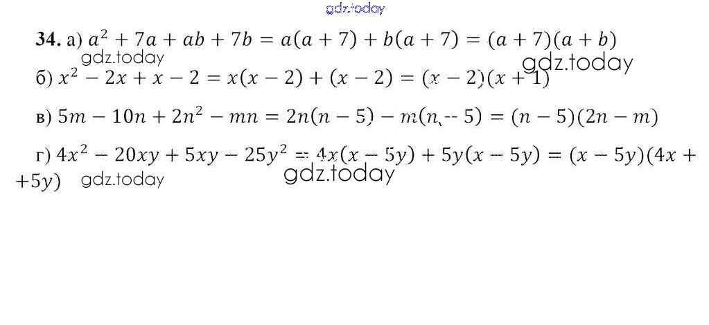
Ответы к Решение. Повторение 34 Учебнику по Алгебре для 8 класса Арефьева, Пирютко Народная асвета 2018

На страницах сайта gdz.today вы найдете учебный и вспомогательный материал, направленный на улучшения знаний школьной программы. ГДЗ - онлайн мир знаний Решение. Повторение 34 Учебнику по Алгебре для 8 класса Арефьева, Пирютко Народная асвета 2018