Выберите класс▼

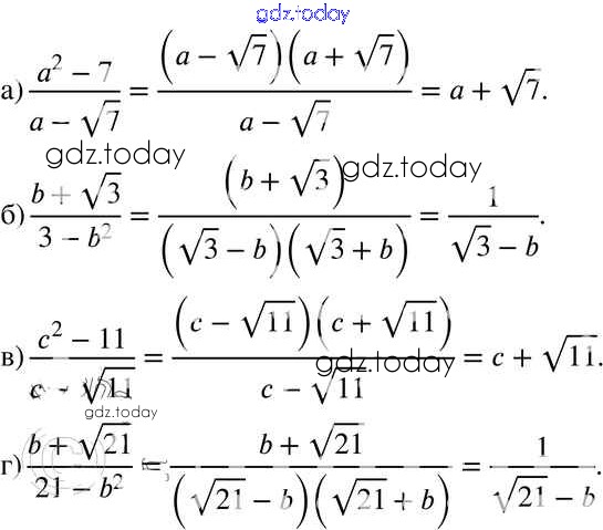
Ответы к Решение к параграфу 15 59 Задачнику по Алгебре для 8 класса Мишустина, Мордкович Базовый уровень Мнемозина 2015

На страницах сайта gdz.today вы найдете учебный и вспомогательный материал, направленный на улучшения знаний школьной программы. ГДЗ - онлайн мир знаний Решение к параграфу 15 59 Задачнику по Алгебре для 8 класса Мишустина, Мордкович Базовый уровень Мнемозина 2015