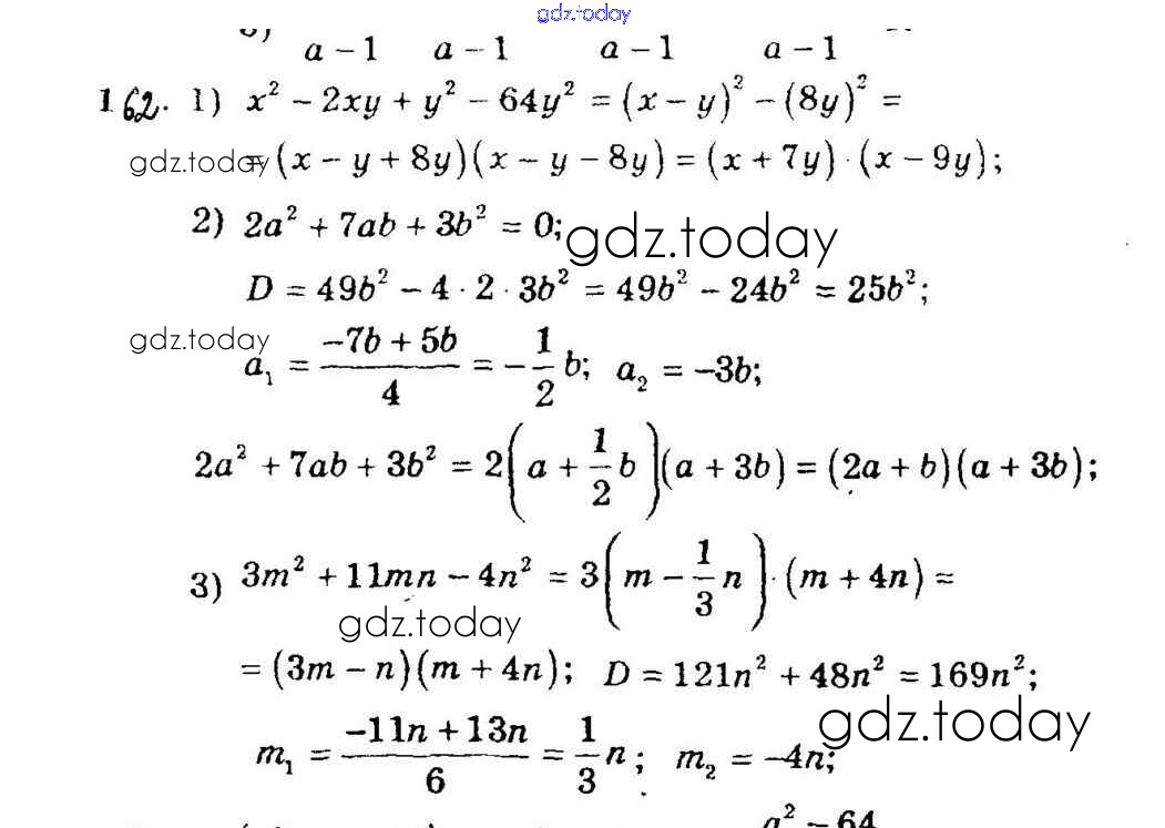
Ответы к Вариант 1 Решение к упражнениям 162 Дидактическим материалам по Алгебре для 8 класса Мерзляк, Полонский Вентана-граф Алгоритм успеха 2016
-
Решение к упражнениям
На страницах сайта gdz.today вы найдете учебный и вспомогательный материал, направленный на улучшения знаний школьной программы. ГДЗ - онлайн мир знаний Вариант 1 Решение к упражнениям 162 Дидактическим материалам по Алгебре для 8 класса Мерзляк, Полонский Вентана-граф Алгоритм успеха 2016