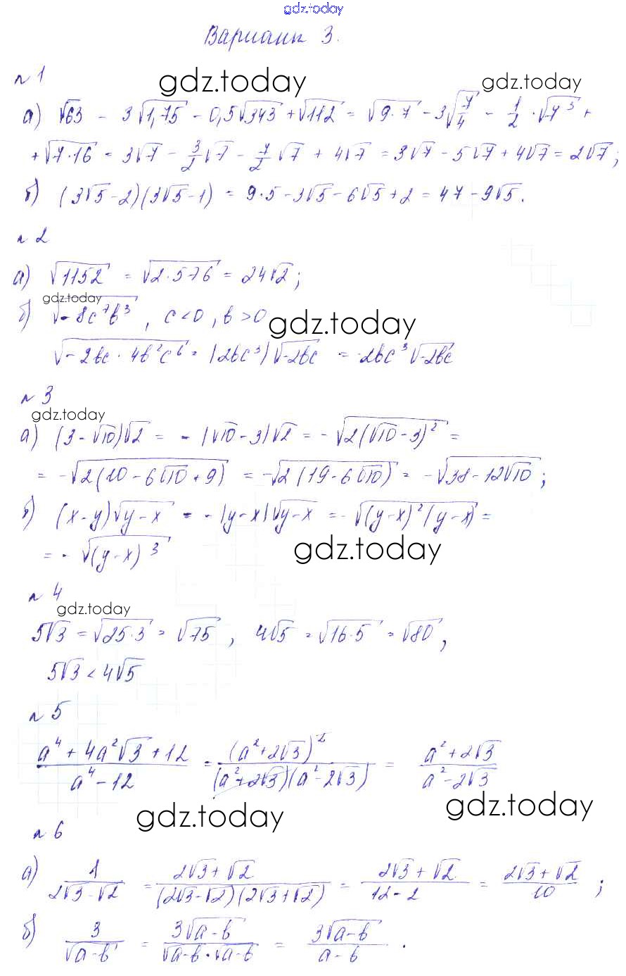
Ответы к СР №7. Квадратный корень из произведения и дроби Решение к самостоятельным работам Вариант-3 Дидактическим материалам по Алгебре для 8 класса Зив, Гольдич Виктория плюс 2012
-
Решение к самостоятельным работам
На страницах сайта gdz.today вы найдете учебный и вспомогательный материал, направленный на улучшения знаний школьной программы. ГДЗ - онлайн мир знаний СР №7. Квадратный корень из произведения и дроби Решение к самостоятельным работам Вариант-3 Дидактическим материалам по Алгебре для 8 класса Зив, Гольдич Виктория плюс 2012