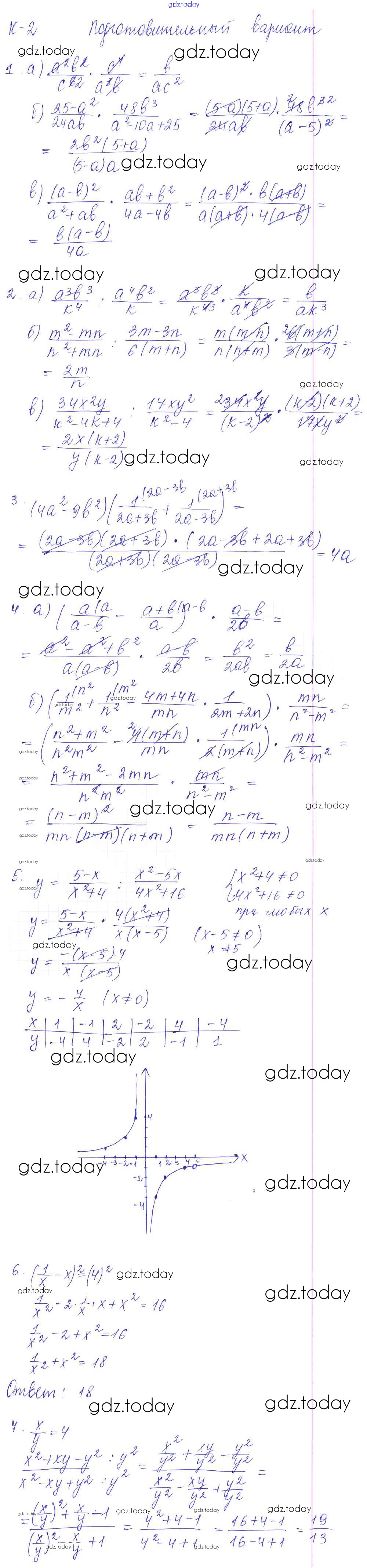
Ответы к КР-2. Умножение и деление, совместные действия с алгебраическими дробями Решение к контрольным работам Подготовительный вариант Дидактическим материалам по Алгебре для 8 класса Звавич, Дьяконова Экзамен УМК 2015
-
Решение к контрольным работам
На страницах сайта gdz.today вы найдете учебный и вспомогательный материал, направленный на улучшения знаний школьной программы. ГДЗ - онлайн мир знаний КР-2. Умножение и деление, совместные действия с алгебраическими дробями Решение к контрольным работам Подготовительный вариант Дидактическим материалам по Алгебре для 8 класса Звавич, Дьяконова Экзамен УМК 2015