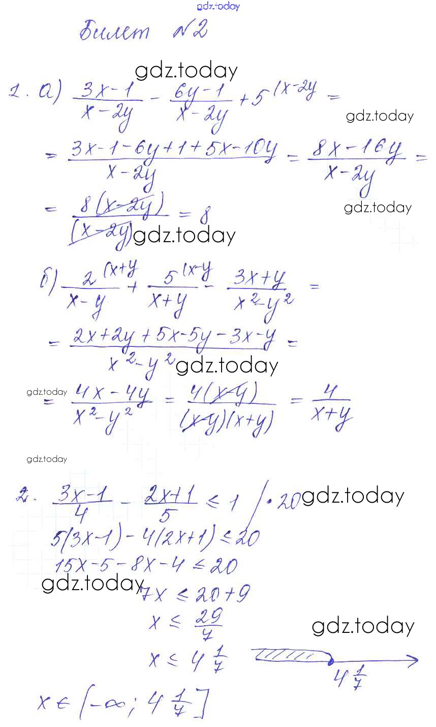
Ответы к Билеты к устному зачёту Решение к приложениям 2 Дидактическим материалам по Алгебре для 8 класса Звавич, Дьяконова Экзамен УМК 2015
-
Решение к контрольным работам
-
Решение к приложениям
На страницах сайта gdz.today вы найдете учебный и вспомогательный материал, направленный на улучшения знаний школьной программы. ГДЗ - онлайн мир знаний Билеты к устному зачёту Решение к приложениям 2 Дидактическим материалам по Алгебре для 8 класса Звавич, Дьяконова Экзамен УМК 2015