Выберите класс▼

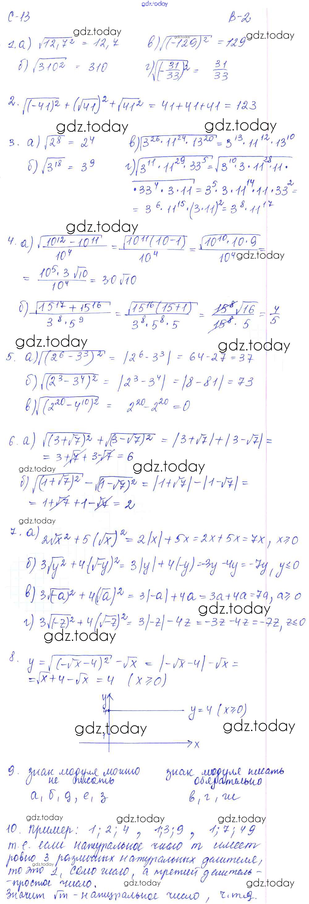
Ответы к СР - 13. Корень из степени, возведение корня в степень Решение к самостоятельным работам. Варианты 2 Дидактическим материалам по Алгебре для 8 класса Звавич, Дьяконова Экзамен УМК 2015

  • Решение к самостоятельным работам. Варианты
    • СР - 9. Арифметический квадратный корень
    • 2
    • СР - 10. Уравнение x2 = a
    • 1 2
    • СР - 11. Значение квадратного корня. Функция y = √x и её свойства
    • 1 2
    • СР - 12. Корень из произведения и частного, произведение и частное квадратных корней
    • 1 2
    • СР - 13. Корень из степени, возведение корня в степень
    • 1 2
    • СР - 14. Вынесение множителя из-под знака корня
    • 1 2
    • СР - 15. Внесение множителя под знак корня
    • 1 2
    • СР - 16. Действия с корнями
    • 1 2
    • СР - 17. Квадратные корни
    • 1 2
На страницах сайта gdz.today вы найдете учебный и вспомогательный материал, направленный на улучшения знаний школьной программы. ГДЗ - онлайн мир знаний СР - 13. Корень из степени, возведение корня в степень Решение к самостоятельным работам. Варианты 2 Дидактическим материалам по Алгебре для 8 класса Звавич, Дьяконова Экзамен УМК 2015