Выберите класс▼

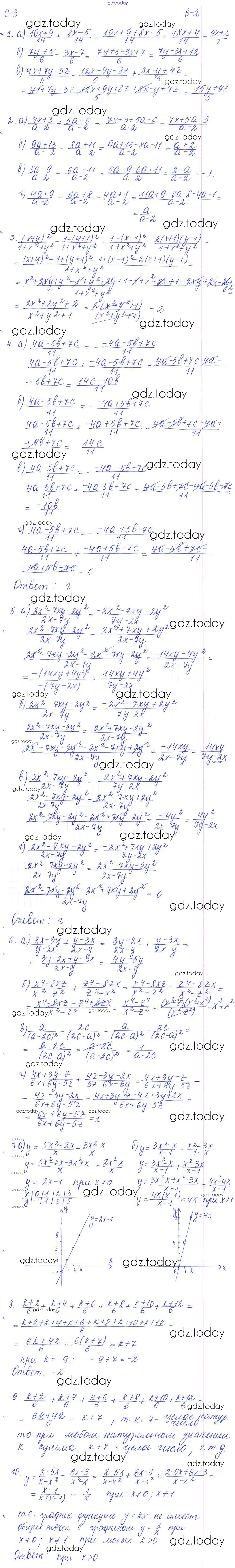
Ответы к СР - 3. Сложение и вычитание алгебраических дробей с одинаковыми знаменателями Решение к самостоятельным работам. Варианты 2 Дидактическим материалам по Алгебре для 8 класса Звавич, Дьяконова Экзамен УМК 2015

  • Решение к приложениям
    • Упражнения с параметрами
  • Решение к самостоятельным работам. Варианты
    • СР - 1. Понятие алгебраической дроби
    • 1 2
    • СР - 2. Основное свойство дроби. Сокращение алгебраических дробей
    • 1 2
    • СР - 3. Сложение и вычитание алгебраических дробей с одинаковыми знаменателями
    • 1 2
    • СР - 4. Сложение и вычитание алгебраических дробей с разными знаменателями
    • 1 2
    • СР - 5. Умножение алгебраических дробей, возведение в степень
    • 1 2
    • СР - 6. Деление алгебраических дробей
    • 1 2
    • СР - 7. Совместные действия с алгебраическими дробями
    • 1 2
На страницах сайта gdz.today вы найдете учебный и вспомогательный материал, направленный на улучшения знаний школьной программы. ГДЗ - онлайн мир знаний СР - 3. Сложение и вычитание алгебраических дробей с одинаковыми знаменателями Решение к самостоятельным работам. Варианты 2 Дидактическим материалам по Алгебре для 8 класса Звавич, Дьяконова Экзамен УМК 2015