Выберите класс▼

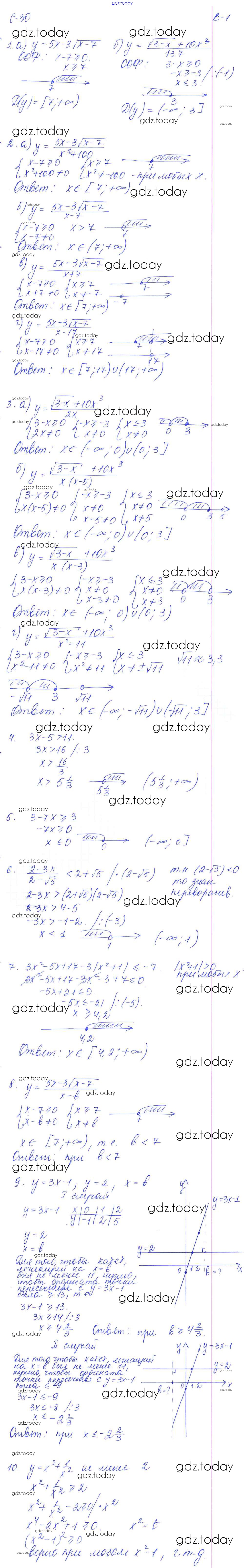
Ответы к СР - 30. Применение неравенств к исследованию функций Решение к самостоятельным работам. Варианты 1 Дидактическим материалам по Алгебре для 8 класса Звавич, Дьяконова Экзамен УМК 2015

  • Решение к самостоятельным работам. Варианты
    • СР - 26. Числовые неравенства, свойства числовых неравенств. Оценка значения выражений
    • 1 2
    • СР - 27. Числовые промежутки
    • 1 2
    • СР - 28. Решение неравенств с одной переменной
    • 1 2
    • СР - 29. Задания, приводящие к неравенствам с одной переменной
    • 1 2
    • СР - 30. Применение неравенств к исследованию функций
    • 1 2
    • СР - 31. Решение систем неравенств
    • 1 2
    • СР - 32. Задания, приводящие к системам неравенств с одной переменной
    • 1 2
    • СР - 33. Степень с целым показателем
    • 1 2
    • СР - 34. Задания, аналогичные заданиям ГИА и ЕГЭ, за курс алгебры
    • 1
На страницах сайта gdz.today вы найдете учебный и вспомогательный материал, направленный на улучшения знаний школьной программы. ГДЗ - онлайн мир знаний СР - 30. Применение неравенств к исследованию функций Решение к самостоятельным работам. Варианты 1 Дидактическим материалам по Алгебре для 8 класса Звавич, Дьяконова Экзамен УМК 2015