Ответы к КР-4. Варианты Контрольные работы 3 Самостоятельным и контрольным работам по Алгебре для 8 класса Ершова, Голобородько Илекса 2014
-
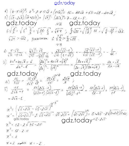
Алгебра (решение к работам)
На страницах сайта gdz.today вы найдете учебный и вспомогательный материал, направленный на улучшения знаний школьной программы. ГДЗ - онлайн мир знаний КР-4. Варианты Контрольные работы 3 Самостоятельным и контрольным работам по Алгебре для 8 класса Ершова, Голобородько Илекса 2014