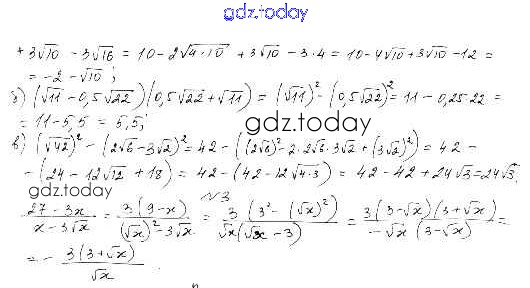
Ответы к СР-11. Варианты Самостоятельные работы 5 Самостоятельным и контрольным работам по Алгебре для 8 класса Ершова, Голобородько Илекса 2014
-
Алгебра (решение к работам)
На страницах сайта gdz.today вы найдете учебный и вспомогательный материал, направленный на улучшения знаний школьной программы. ГДЗ - онлайн мир знаний СР-11. Варианты Самостоятельные работы 5 Самостоятельным и контрольным работам по Алгебре для 8 класса Ершова, Голобородько Илекса 2014