Выберите класс▼

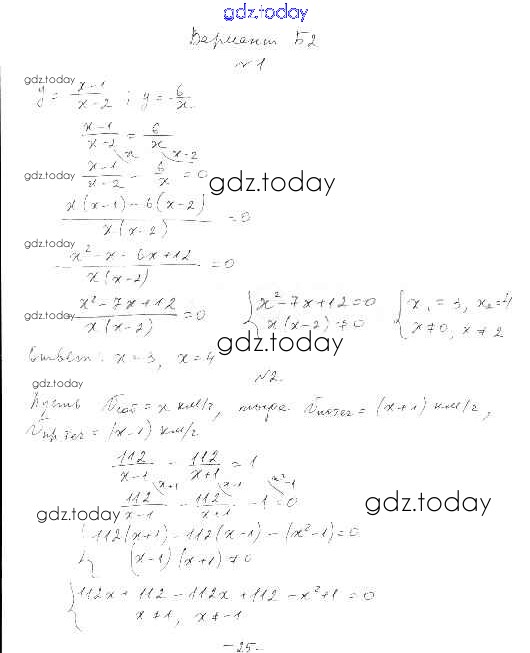
Ответы к СР-18. Варианты Самостоятельные работы 4 Самостоятельным и контрольным работам по Алгебре для 8 класса Ершова, Голобородько Илекса 2014

  • Алгебра (решение к работам)
На страницах сайта gdz.today вы найдете учебный и вспомогательный материал, направленный на улучшения знаний школьной программы. ГДЗ - онлайн мир знаний СР-18. Варианты Самостоятельные работы 4 Самостоятельным и контрольным работам по Алгебре для 8 класса Ершова, Голобородько Илекса 2014