Ответы к Глава 3. Упражнения Проверь себя (решение) 2 Учебнику по Алгебре для 8 класса Колягин, Ткачева Просвещение УМК 2013
-
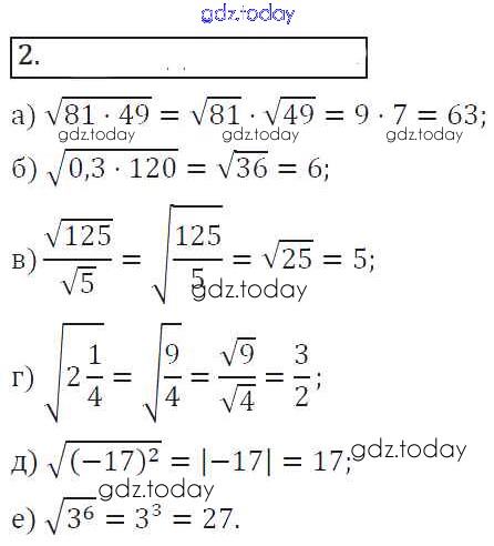
Проверь себя (решение)
На страницах сайта gdz.today вы найдете учебный и вспомогательный материал, направленный на улучшения знаний школьной программы. ГДЗ - онлайн мир знаний Глава 3. Упражнения Проверь себя (решение) 2 Учебнику по Алгебре для 8 класса Колягин, Ткачева Просвещение УМК 2013