Выберите класс▼

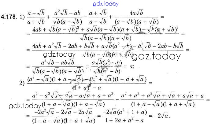
Ответы к Решение к главе 4 4.178 Учебнику по Алгебре для 8 класса Кузнецова, Муравьева Народная асвета 2015

На страницах сайта gdz.today вы найдете учебный и вспомогательный материал, направленный на улучшения знаний школьной программы. ГДЗ - онлайн мир знаний Решение к главе 4 4.178 Учебнику по Алгебре для 8 класса Кузнецова, Муравьева Народная асвета 2015